三因子變異數分析 (Three Way ANOVA)
套路24: 三因子變異數分析 (Three Way ANOVA)
應用三因子變異數分析的資料有三影響因子,就是有三個自變項。此檢定有七組H0和HA。
H0: m因子1-1 = m因子1-2 = … = m因子1-m,HA: 至少有一組平均值不同。
H0: m因子2-1 = m因子2-2 = … = m因子2-n,HA: 至少有一組平均值不同。
H0: m因子3-1 = m因子3-2 = … = m因子3-o,HA: 至少有一組平均值不同。
H0: 因子1與因子2互不影響,HA: 因子1與因子2互相影響。
H0: 因子1與因子3互不影響,HA: 因子1與因子3互相影響。
H0: 因子2與因子3互不影響,HA: 因子2與因子3互相影響。
H0: 因子1、因子2與因子3互不影響,HA: 因子1、因子2與因子3互相影響。
1. 使用時機: 變異數分析適用連續資料之差異分析,若自變項有3個,就是三因子變異數分析。
2. 分析類型: 母數分析(parametric analysis)。直接使用資料數值算統計叫parametric方法,把資料排序之後用排序的名次算統計叫non-parametric方法。
3. 假設前提: 每組資料(observations within each cell)都是常態分布(normally distributed)且具相同變異數(equal variances)。
4. 範例資料: 咪路研究溫度對孔雀魚(Poecilia reticulata)、寶蓮燈魚(Paracheirodon axelrodi)及斑馬魚(Danio rerio)生長的影響。在20°C、24°C 及28°C培養下,三種魚身長變化(cm)資料如下:
|
孔雀魚(Poecilia
reticulata)
|
|||||
|
20°C
|
24°C
|
28°C
|
|||
|
雄
|
雌
|
雄
|
雌
|
雄
|
雌
|
|
0.9
|
0.8
|
1.15
|
1.2
|
1.45
|
1.5
|
|
0.8
|
0.7
|
1.05
|
1.35
|
1.4
|
1.55
|
|
0.6
|
0.4
|
1.0
|
1.2
|
1.7
|
1.5
|
|
0.4
|
0.5
|
1.0
|
1.3
|
1.6
|
1.35
|
|
斑馬魚(Danio
rerio)
|
|||||
|
20°C
|
24°C
|
28°C
|
|||
|
雄
|
雌
|
雄
|
雌
|
雄
|
雌
|
|
1.05
|
1.15
|
1.2
|
1.0
|
1.8
|
1.55
|
|
1.0
|
1.0
|
1.3
|
1.15
|
1.55
|
1.5
|
|
0.9
|
0.95
|
1.35
|
1.05
|
1.7
|
1.4
|
|
1.1
|
0.85
|
1.15
|
1.2
|
1.6
|
1.6
|
|
寶蓮燈魚(Paracheirodon
axelrodi)
|
|||||
|
20°C
|
24°C
|
28°C
|
|||
|
雄
|
雌
|
雄
|
雌
|
雄
|
雌
|
|
0.55
|
0.7
|
1.0
|
1.2
|
1.45
|
1.6
|
|
0.6
|
0.5
|
1.05
|
1.3
|
1.4
|
1.45
|
|
0.5
|
0.65
|
0.95
|
1.15
|
1.5
|
1.4
|
|
0.7
|
0.6
|
1.1
|
1.1
|
1.55
|
1.45
|
H0: 三種魚沒差異。 HA: 三種魚有差異。
H0: 溫度沒影響。 HA: 溫度有影響。
H0: 性別沒影響。 HA: 性別有影響。
H0: 魚種及性別沒交互作用。HA: 魚種及性別有交互作用。
H0: 魚種及溫度沒交互作用。 HA: 魚種及溫度有交互作用。
H0: 性別及溫度沒交互作用。 HA: 性別及溫度有交互作用。
H0: 三因子沒交互作用。 HA: 三因子有交互作用。
第一步: 使用基本模組(base)的read.table函數輸入建立資料儲存到變數m。
m <- read.table(header = TRUE, text = "
Fish Temp Sex Growth
F1 t20 M 0.95
F1 t20 M 0.9
F1 t20 M 0.8
F1 t20 M 0.7
F1 t20 F 0.9
F1 t20 F 0.85
F1 t20 F 0.7
F1 t20 F 0.75
F1 t24 M 1.15
F1 t24 M 1.05
F1 t24 M 1
F1 t24 M 1.3
F1 t24 F 1.2
F1 t24 F 1.35
F1 t24 F 1.2
F1 t24 F 1.3
F1 t28 M 1.45
F1 t28 M 1.4
F1 t28 M 1.7
F1 t28 M 1.6
F1 t28 F 1.5
F1 t28 F 1.55
F1 t28 F 1.5
F1 t28 F 1.35
F2 t20 M 1.05
F2 t20 M 1
F2 t20 M 0.9
F2 t20 M 1.1
F2 t20 F 1.15
F2 t20 F 1
F2 t20 F 0.95
F2 t20 F 0.85
F2 t24 M 1.2
F2 t24 M 1.3
F2 t24 M 1.35
F2 t24 M 1.15
F2 t24 F 1
F2 t24 F 1.15
F2 t24 F 1.05
F2 t24 F 1.2
F2 t28 M 1.8
F2 t28 M 1.55
F2 t28 M 1.7
F2 t28 M 1.6
F2 t28 F 1.55
F2 t28 F 1.5
F2 t28 F 1.4
F2 t28 F 1.6
F3 t20 M 0.55
F3 t20 M 0.6
F3 t20 M 0.5
F3 t20 M 0.7
F3 t20 F 0.7
F3 t20 F 0.5
F3 t20 F 0.65
F3 t20 F 0.6
F3 t24 M 1
F3 t24 M 1.05
F3 t24 M 0.95
F3 t24 M 1.1
F3 t24 F 1.2
F3 t24 F 1.3
F3 t24 F 1.15
F3 t24 F 1.1
F3 t28 M 1.45
F3 t28 M 1.4
F3 t28 M 1.5
F3 t28 M 1.55
F3 t28 F 1.6
F3 t28 F 1.45
F3 t28 F 1.4
F3 t28 F 1.45")
# 資料間以空白間隔
attach(m) # 告知R使用資料m
names(m)
# 指定資料標題
5. 畫圖看資料分佈1:
第一步: 安裝程式套件ggplot2。
第二步: 呼叫ggplot2。
library(ggplot2)
第三步: 使用函數ggplot代入m資料畫box圖。
ggplot(m, aes(x = Temp,
y = Growth, color = Sex)) +
geom_boxplot() + # 畫box圖
facet_grid(. ~ Fish) # 三種魚畫三格,畫成3 x 1排列
6. 畫圖看資料分佈2:
第一步: 使用基本模組(base)的plot.design函數來畫三個因子的資料分布狀況。
plot.design(Growth ~ .,
data = m)
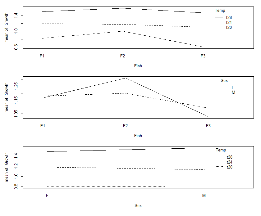
7. 檢查因子間是否有交互作用(interaction):
第一步: 使用基本模組(base)的interaction.plot函數來畫三個因子交互作用的狀況。
op <- par(mfrow =
c(3, 1)) # 把三個圖畫成3 x 1排列
interaction.plot(Fish,
Temp, Growth)
interaction.plot(Fish,
Sex, Growth)
interaction.plot(Sex,
Temp, Growth)
op
par(op)
8. 計算三因子變異數分析:
第一步: 使用基本模組(base)的aov函數代入m中資料來計算三因子變異數分析,結果儲存到變數fm。
fm <- aov(Growth ~
Fish * Sex * Temp, data = m)
第二步: 使用基本模組(base)的summary函數代入fm來顯示三因子變異數分析結果。
summary(fm)
Df Sum Sq Mean Sq F value Pr(>F)
Fish 2
0.454 0.2272 24.475 2.71e-08 ***
Sex 1 0.002
0.0022 0.239 0.6266
Temp 2 6.164
3.0820 332.024 < 2e-16 ***
Fish:Sex 2
0.093 0.0463 4.986
0.0103 *
Fish:Temp 4
0.275 0.0689 7.418 7.75e-05 ***
Sex:Temp 2 0.044
0.0219 2.360 0.1041
Fish:Sex:Temp 4
0.055 0.0138 1.485
0.2196
Residuals 54
0.501 0.0093
---
Signif. codes: 0 ‘***’ 0.001
‘**’ 0.01 ‘*’ 0.05 ‘.’ 0.1 ‘ ’ 1
# Fish p < 0.05,H0: 三種魚沒差異,不成立。
# Sex p > 0.05,H0: 性別沒影響,成立。
# Temp p < 0.05,H0: 溫度沒影響,不成立。
# Fish:Sex p < 0.05,H0: 魚種及性別沒交互作用,不成立。
# Fish:Temp p < 0.05,H0: 魚種及溫度沒交互作用,不成立。
# Sex:Temp p > 0.05,H0: 性別及溫度沒交互作用,成立。
# Fish:Sex:Temp p > 0.05,H0: 三因子沒交互作用,成立。
第三步: 使用基本模組(base)的TukeyHSD函數代入fm來計算顯示有差異的組別。
TukeyHSD(fm)
Tukey multiple comparisons of means
95% family-wise
confidence level
Fit: aov(formula = Growth ~ Fish * Sex * Temp, data = m)
$Fish
diff lwr upr
p adj
F2-F1 0.08125 0.01422237
0.14827763 0.0138460
F3-F1 -0.11250 -0.17952763 -0.04547237 0.0004855
F3-F2 -0.19375 -0.26077763 -0.12672237 0.0000000
$Sex
diff lwr upr
p adj
M-F 0.01111111 -0.03441728 0.0566395 0.6266204
$Temp
diff lwr
upr p adj
t24-t20 0.3520833 0.2850557 0.4191110 0
t28-t20 0.7166667 0.6496390 0.7836943 0
t28-t24 0.3645833 0.2975557 0.4316110 0
$`Fish:Sex`
diff lwr upr p adj
F2:F-F1:F 0.02083333 -0.095374578 0.137041244 0.9947189
F3:F-F1:F -0.08750000 -0.203707911
0.028707911 0.2437104
F1:M-F1:F -0.01250000 -0.128707911
0.103707911 0.9995430
F2:M-F1:F 0.12916667 0.012958756
0.245374578 0.0210993
F3:M-F1:F -0.15000000 -0.266207911 -0.033792089 0.0045391
F3:F-F2:F -0.10833333 -0.224541244
0.007874578 0.0810467
F1:M-F2:F -0.03333333 -0.149541244
0.082874578 0.9569975
F2:M-F2:F 0.10833333
-0.007874578 0.224541244 0.0810467
F3:M-F2:F -0.17083333 -0.287041244 -0.054625422 0.0008444
F1:M-F3:F 0.07500000
-0.041207911 0.191207911 0.4092852
F2:M-F3:F 0.21666667 0.100458756
0.332874578 0.0000149
F3:M-F3:F -0.06250000 -0.178707911
0.053707911 0.6091849
F2:M-F1:M 0.14166667 0.025458756
0.257874578 0.0085602
F3:M-F1:M -0.13750000 -0.253707911 -0.021292089 0.0116439
F3:M-F2:M -0.27916667 -0.395374578 -0.162958756 0.0000000
$`Fish:Temp`
diff lwr upr
p adj
F2:t20-F1:t20 0.18125 0.02561637
0.33688363 0.0115001
F3:t20-F1:t20 -0.21875 -0.37438363 -0.06311637 0.0009948
F1:t24-F1:t20 0.37500 0.21936637
0.53063363 0.0000000
F2:t24-F1:t20 0.35625 0.20061637
0.51188363 0.0000000
F3:t24-F1:t20 0.28750 0.13186637
0.44313363 0.0000066
F1:t28-F1:t20 0.68750 0.53186637
0.84313363 0.0000000
F2:t28-F1:t20 0.76875 0.61311637
0.92438363 0.0000000
F3:t28-F1:t20 0.65625 0.50061637
0.81188363 0.0000000
F3:t20-F2:t20 -0.40000 -0.55563363 -0.24436637 0.0000000
F1:t24-F2:t20 0.19375 0.03811637
0.34938363 0.0052581
F2:t24-F2:t20 0.17500 0.01936637
0.33063363 0.0167564
F3:t24-F2:t20 0.10625
-0.04938363 0.26188363 0.4168940
F1:t28-F2:t20 0.50625 0.35061637
0.66188363 0.0000000
F2:t28-F2:t20 0.58750 0.43186637
0.74313363 0.0000000
F3:t28-F2:t20 0.47500 0.31936637
0.63063363 0.0000000
F1:t24-F3:t20 0.59375 0.43811637
0.74938363 0.0000000
F2:t24-F3:t20 0.57500 0.41936637
0.73063363 0.0000000
F3:t24-F3:t20 0.50625 0.35061637
0.66188363 0.0000000
F1:t28-F3:t20 0.90625 0.75061637
1.06188363 0.0000000
F2:t28-F3:t20 0.98750 0.83186637
1.14313363 0.0000000
F3:t28-F3:t20 0.87500 0.71936637
1.03063363 0.0000000
F2:t24-F1:t24 -0.01875 -0.17438363
0.13688363 0.9999826
F3:t24-F1:t24 -0.08750 -0.24313363
0.06813363 0.6713875
F1:t28-F1:t24 0.31250 0.15686637
0.46813363 0.0000010
F2:t28-F1:t24 0.39375 0.23811637
0.54938363 0.0000000
F3:t28-F1:t24 0.28125 0.12561637
0.43688363 0.0000106
F3:t24-F2:t24 -0.06875 -0.22438363
0.08688363 0.8822624
F1:t28-F2:t24 0.33125 0.17561637
0.48688363 0.0000002
F2:t28-F2:t24 0.41250 0.25686637
0.56813363 0.0000000
F3:t28-F2:t24 0.30000 0.14436637
0.45563363 0.0000025
F1:t28-F3:t24 0.40000 0.24436637
0.55563363 0.0000000
F2:t28-F3:t24 0.48125 0.32561637
0.63688363 0.0000000
F3:t28-F3:t24 0.36875 0.21311637
0.52438363 0.0000000
F2:t28-F1:t28 0.08125
-0.07438363 0.23688363 0.7517336
F3:t28-F1:t28 -0.03125 -0.18688363
0.12438363 0.9991866
F3:t28-F2:t28 -0.11250 -0.26813363
0.04313363 0.3401715
$`Sex:Temp`
diff lwr upr
p adj
M:t20-F:t20 0.01250000
-0.10370791 0.12870791 0.9995430
F:t24-F:t20 0.38333333 0.26712542 0.49954124 0.0000000
M:t24-F:t20 0.33333333 0.21712542 0.44954124 0.0000000
F:t28-F:t20 0.68750000 0.57129209 0.80370791 0.0000000
M:t28-F:t20 0.75833333 0.64212542 0.87454124 0.0000000
F:t24-M:t20 0.37083333 0.25462542 0.48704124 0.0000000
M:t24-M:t20 0.32083333 0.20462542 0.43704124 0.0000000
F:t28-M:t20 0.67500000 0.55879209 0.79120791 0.0000000
M:t28-M:t20 0.74583333 0.62962542 0.86204124 0.0000000
M:t24-F:t24 -0.05000000 -0.16620791 0.06620791 0.7991187
F:t28-F:t24 0.30416667 0.18795876 0.42037458 0.0000000
M:t28-F:t24 0.37500000 0.25879209 0.49120791 0.0000000
F:t28-M:t24 0.35416667 0.23795876 0.47037458 0.0000000
M:t28-M:t24 0.42500000 0.30879209 0.54120791 0.0000000
M:t28-F:t28 0.07083333 -0.04537458
0.18704124 0.4738269
$`Fish:Sex:Temp`
diff lwr upr p adj
F2:F:t20-F1:F:t20
1.875000e-01 -0.0619875165
0.4369875165 0.3718795
F3:F:t20-F1:F:t20 -1.875000e-01 -0.4369875165 0.0619875165 0.3718795
F1:M:t20-F1:F:t20
3.750000e-02 -0.2119875165
0.2869875165 1.0000000
F2:M:t20-F1:F:t20
2.125000e-01 -0.0369875165
0.4619875165 0.1850236
F3:M:t20-F1:F:t20 -2.125000e-01 -0.4619875165 0.0369875165 0.1850236
F1:F:t24-F1:F:t20 4.625000e-01 0.2130124835
0.7119875165 0.0000013
F2:F:t24-F1:F:t20
3.000000e-01 0.0505124835 0.5494875165 0.0057135
F3:F:t24-F1:F:t20
3.875000e-01 0.1380124835 0.6369875165 0.0000729
F1:M:t24-F1:F:t20
3.250000e-01 0.0755124835 0.5744875165 0.0017429
F2:M:t24-F1:F:t20
4.500000e-01 0.2005124835 0.6994875165 0.0000026
F3:M:t24-F1:F:t20
2.250000e-01 -0.0244875165
0.4744875165 0.1228877
F1:F:t28-F1:F:t20
6.750000e-01 0.4255124835 0.9244875165 0.0000000
F2:F:t28-F1:F:t20
7.125000e-01 0.4630124835 0.9619875165 0.0000000
F3:F:t28-F1:F:t20
6.750000e-01 0.4255124835 0.9244875165 0.0000000
F1:M:t28-F1:F:t20
7.375000e-01 0.4880124835 0.9869875165 0.0000000
F2:M:t28-F1:F:t20
8.625000e-01 0.6130124835 1.1119875165 0.0000000
F3:M:t28-F1:F:t20 6.750000e-01 0.4255124835
0.9244875165 0.0000000
F3:F:t20-F2:F:t20 -3.750000e-01 -0.6244875165 -0.1255124835
0.0001399
F1:M:t20-F2:F:t20 -1.500000e-01 -0.3994875165 0.0994875165 0.7437223
F2:M:t20-F2:F:t20
2.500000e-02 -0.2244875165
0.2744875165 1.0000000
F3:M:t20-F2:F:t20 -4.000000e-01 -0.6494875165 -0.1505124835
0.0000377
F1:F:t24-F2:F:t20
2.750000e-01 0.0255124835 0.5244875165 0.0174846
F2:F:t24-F2:F:t20
1.125000e-01 -0.1369875165
0.3619875165 0.9676987
F3:F:t24-F2:F:t20
2.000000e-01 -0.0494875165
0.4494875165 0.2679806
F1:M:t24-F2:F:t20
1.375000e-01 -0.1119875165
0.3869875165 0.8472995
F2:M:t24-F2:F:t20
2.625000e-01 0.0130124835 0.5119875165 0.0296357
F3:M:t24-F2:F:t20
3.750000e-02 -0.2119875165
0.2869875165 1.0000000
F1:F:t28-F2:F:t20 4.875000e-01
0.2380124835 0.7369875165
0.0000003
F2:F:t28-F2:F:t20
5.250000e-01 0.2755124835 0.7744875165 0.0000000
F3:F:t28-F2:F:t20
4.875000e-01 0.2380124835 0.7369875165 0.0000003
F1:M:t28-F2:F:t20
5.500000e-01 0.3005124835 0.7994875165 0.0000000
F2:M:t28-F2:F:t20
6.750000e-01 0.4255124835 0.9244875165 0.0000000
F3:M:t28-F2:F:t20
4.875000e-01 0.2380124835 0.7369875165 0.0000003
F1:M:t20-F3:F:t20
2.250000e-01 -0.0244875165
0.4744875165 0.1228877
F2:M:t20-F3:F:t20
4.000000e-01 0.1505124835 0.6494875165 0.0000377
F3:M:t20-F3:F:t20 -2.500000e-02 -0.2744875165 0.2244875165 1.0000000
F1:F:t24-F3:F:t20
6.500000e-01 0.4005124835 0.8994875165 0.0000000
F2:F:t24-F3:F:t20
4.875000e-01 0.2380124835 0.7369875165 0.0000003
F3:F:t24-F3:F:t20
5.750000e-01 0.3255124835 0.8244875165 0.0000000
F1:M:t24-F3:F:t20
5.125000e-01 0.2630124835 0.7619875165 0.0000001
F2:M:t24-F3:F:t20
6.375000e-01 0.3880124835 0.8869875165 0.0000000
F3:M:t24-F3:F:t20
4.125000e-01 0.1630124835 0.6619875165 0.0000194
F1:F:t28-F3:F:t20
8.625000e-01 0.6130124835 1.1119875165 0.0000000
F2:F:t28-F3:F:t20
9.000000e-01 0.6505124835 1.1494875165 0.0000000
F3:F:t28-F3:F:t20
8.625000e-01 0.6130124835 1.1119875165 0.0000000
F1:M:t28-F3:F:t20
9.250000e-01 0.6755124835 1.1744875165 0.0000000
F2:M:t28-F3:F:t20
1.050000e+00 0.8005124835 1.2994875165 0.0000000
F3:M:t28-F3:F:t20
8.625000e-01 0.6130124835 1.1119875165 0.0000000
F2:M:t20-F1:M:t20
1.750000e-01 -0.0744875165
0.4244875165 0.4925922
F3:M:t20-F1:M:t20 -2.500000e-01 -0.4994875165 -0.0005124835
0.0490074
F1:F:t24-F1:M:t20
4.250000e-01 0.1755124835 0.6744875165 0.0000099
F2:F:t24-F1:M:t20
2.625000e-01 0.0130124835 0.5119875165 0.0296357
F3:F:t24-F1:M:t20
3.500000e-01 0.1005124835 0.5994875165 0.0005041
F1:M:t24-F1:M:t20
2.875000e-01 0.0380124835 0.5369875165 0.0100923
F2:M:t24-F1:M:t20
4.125000e-01 0.1630124835 0.6619875165 0.0000194
F3:M:t24-F1:M:t20
1.875000e-01 -0.0619875165
0.4369875165 0.3718795
F1:F:t28-F1:M:t20
6.375000e-01 0.3880124835 0.8869875165 0.0000000
F2:F:t28-F1:M:t20
6.750000e-01 0.4255124835 0.9244875165 0.0000000
F3:F:t28-F1:M:t20
6.375000e-01 0.3880124835 0.8869875165 0.0000000
F1:M:t28-F1:M:t20
7.000000e-01 0.4505124835 0.9494875165 0.0000000
F2:M:t28-F1:M:t20
8.250000e-01 0.5755124835 1.0744875165 0.0000000
F3:M:t28-F1:M:t20
6.375000e-01 0.3880124835 0.8869875165 0.0000000
F3:M:t20-F2:M:t20 -4.250000e-01 -0.6744875165 -0.1755124835
0.0000099
F1:F:t24-F2:M:t20
2.500000e-01 0.0005124835 0.4994875165 0.0490074
F2:F:t24-F2:M:t20
8.750000e-02 -0.1619875165
0.3369875165 0.9975534
F3:F:t24-F2:M:t20
1.750000e-01 -0.0744875165
0.4244875165 0.4925922
F1:M:t24-F2:M:t20
1.125000e-01 -0.1369875165
0.3619875165 0.9676987
F2:M:t24-F2:M:t20
2.375000e-01 -0.0119875165
0.4869875165 0.0788227
F3:M:t24-F2:M:t20
1.250000e-02 -0.2369875165
0.2619875165 1.0000000
F1:F:t28-F2:M:t20
4.625000e-01 0.2130124835 0.7119875165 0.0000013
F2:F:t28-F2:M:t20
5.000000e-01 0.2505124835 0.7494875165 0.0000002
F3:F:t28-F2:M:t20
4.625000e-01 0.2130124835 0.7119875165 0.0000013
F1:M:t28-F2:M:t20
5.250000e-01 0.2755124835 0.7744875165 0.0000000
F2:M:t28-F2:M:t20
6.500000e-01 0.4005124835 0.8994875165 0.0000000
F3:M:t28-F2:M:t20
4.625000e-01 0.2130124835 0.7119875165 0.0000013
F1:F:t24-F3:M:t20
6.750000e-01 0.4255124835 0.9244875165 0.0000000
F2:F:t24-F3:M:t20
5.125000e-01 0.2630124835 0.7619875165 0.0000001
F3:F:t24-F3:M:t20
6.000000e-01 0.3505124835 0.8494875165 0.0000000
F1:M:t24-F3:M:t20
5.375000e-01 0.2880124835 0.7869875165 0.0000000
F2:M:t24-F3:M:t20
6.625000e-01 0.4130124835 0.9119875165 0.0000000
F3:M:t24-F3:M:t20
4.375000e-01 0.1880124835 0.6869875165 0.0000051
F1:F:t28-F3:M:t20
8.875000e-01 0.6380124835 1.1369875165 0.0000000
F2:F:t28-F3:M:t20
9.250000e-01 0.6755124835 1.1744875165 0.0000000
F3:F:t28-F3:M:t20
8.875000e-01 0.6380124835 1.1369875165 0.0000000
F1:M:t28-F3:M:t20
9.500000e-01 0.7005124835 1.1994875165 0.0000000
F2:M:t28-F3:M:t20
1.075000e+00 0.8255124835 1.3244875165 0.0000000
F3:M:t28-F3:M:t20
8.875000e-01 0.6380124835 1.1369875165 0.0000000
F2:F:t24-F1:F:t24 -1.625000e-01 -0.4119875165 0.0869875165 0.6209304
F3:F:t24-F1:F:t24 -7.500000e-02 -0.3244875165 0.1744875165 0.9996231
F1:M:t24-F1:F:t24 -1.375000e-01 -0.3869875165 0.1119875165 0.8472995
F2:M:t24-F1:F:t24 -1.250000e-02 -0.2619875165 0.2369875165 1.0000000
F3:M:t24-F1:F:t24 -2.375000e-01 -0.4869875165 0.0119875165 0.0788227
F1:F:t28-F1:F:t24
2.125000e-01 -0.0369875165
0.4619875165 0.1850236
F2:F:t28-F1:F:t24
2.500000e-01 0.0005124835 0.4994875165 0.0490074
F3:F:t28-F1:F:t24
2.125000e-01 -0.0369875165
0.4619875165 0.1850236
F1:M:t28-F1:F:t24
2.750000e-01 0.0255124835 0.5244875165 0.0174846
F2:M:t28-F1:F:t24
4.000000e-01 0.1505124835 0.6494875165 0.0000377
F3:M:t28-F1:F:t24
2.125000e-01 -0.0369875165
0.4619875165 0.1850236
F3:F:t24-F2:F:t24
8.750000e-02 -0.1619875165
0.3369875165 0.9975534
F1:M:t24-F2:F:t24
2.500000e-02 -0.2244875165
0.2744875165 1.0000000
F2:M:t24-F2:F:t24 1.500000e-01
-0.0994875165 0.3994875165 0.7437223
F3:M:t24-F2:F:t24 -7.500000e-02 -0.3244875165 0.1744875165 0.9996231
F1:F:t28-F2:F:t24
3.750000e-01 0.1255124835 0.6244875165 0.0001399
F2:F:t28-F2:F:t24
4.125000e-01 0.1630124835 0.6619875165 0.0000194
F3:F:t28-F2:F:t24
3.750000e-01 0.1255124835 0.6244875165 0.0001399
F1:M:t28-F2:F:t24
4.375000e-01 0.1880124835 0.6869875165 0.0000051
F2:M:t28-F2:F:t24
5.625000e-01 0.3130124835 0.8119875165 0.0000000
F3:M:t28-F2:F:t24
3.750000e-01 0.1255124835 0.6244875165 0.0001399
F1:M:t24-F3:F:t24 -6.250000e-02 -0.3119875165 0.1869875165 0.9999669
F2:M:t24-F3:F:t24
6.250000e-02 -0.1869875165
0.3119875165 0.9999669
F3:M:t24-F3:F:t24 -1.625000e-01 -0.4119875165 0.0869875165 0.6209304
F1:F:t28-F3:F:t24 2.875000e-01 0.0380124835
0.5369875165 0.0100923
F2:F:t28-F3:F:t24
3.250000e-01 0.0755124835 0.5744875165 0.0017429
F3:F:t28-F3:F:t24
2.875000e-01 0.0380124835 0.5369875165 0.0100923
F1:M:t28-F3:F:t24
3.500000e-01 0.1005124835 0.5994875165 0.0005041
F2:M:t28-F3:F:t24
4.750000e-01 0.2255124835 0.7244875165 0.0000007
F3:M:t28-F3:F:t24
2.875000e-01 0.0380124835 0.5369875165 0.0100923
F2:M:t24-F1:M:t24
1.250000e-01 -0.1244875165
0.3744875165 0.9223869
F3:M:t24-F1:M:t24 -1.000000e-01 -0.3494875165 0.1494875165 0.9895562
F1:F:t28-F1:M:t24
3.500000e-01 0.1005124835 0.5994875165 0.0005041
F2:F:t28-F1:M:t24
3.875000e-01 0.1380124835 0.6369875165 0.0000729
F3:F:t28-F1:M:t24
3.500000e-01 0.1005124835 0.5994875165 0.0005041
F1:M:t28-F1:M:t24 4.125000e-01 0.1630124835
0.6619875165 0.0000194
F2:M:t28-F1:M:t24
5.375000e-01 0.2880124835 0.7869875165 0.0000000
F3:M:t28-F1:M:t24
3.500000e-01 0.1005124835 0.5994875165 0.0005041
F3:M:t24-F2:M:t24 -2.250000e-01 -0.4744875165 0.0244875165 0.1228877
F1:F:t28-F2:M:t24
2.250000e-01 -0.0244875165
0.4744875165 0.1228877
F2:F:t28-F2:M:t24
2.625000e-01 0.0130124835 0.5119875165 0.0296357
F3:F:t28-F2:M:t24
2.250000e-01 -0.0244875165
0.4744875165 0.1228877
F1:M:t28-F2:M:t24
2.875000e-01 0.0380124835 0.5369875165 0.0100923
F2:M:t28-F2:M:t24
4.125000e-01 0.1630124835 0.6619875165 0.0000194
F3:M:t28-F2:M:t24
2.250000e-01 -0.0244875165
0.4744875165 0.1228877
F1:F:t28-F3:M:t24
4.500000e-01 0.2005124835 0.6994875165 0.0000026
F2:F:t28-F3:M:t24 4.875000e-01 0.2380124835
0.7369875165 0.0000003
F3:F:t28-F3:M:t24
4.500000e-01 0.2005124835 0.6994875165 0.0000026
F1:M:t28-F3:M:t24
5.125000e-01 0.2630124835 0.7619875165 0.0000001
F2:M:t28-F3:M:t24
6.375000e-01 0.3880124835 0.8869875165 0.0000000
F3:M:t28-F3:M:t24
4.500000e-01 0.2005124835 0.6994875165 0.0000026
F2:F:t28-F1:F:t28
3.750000e-02 -0.2119875165
0.2869875165 1.0000000
F3:F:t28-F1:F:t28
4.440892e-16 -0.2494875165
0.2494875165 1.0000000
F1:M:t28-F1:F:t28
6.250000e-02 -0.1869875165
0.3119875165 0.9999669
F2:M:t28-F1:F:t28
1.875000e-01 -0.0619875165
0.4369875165 0.3718795
F3:M:t28-F1:F:t28
4.440892e-16 -0.2494875165
0.2494875165 1.0000000
F3:F:t28-F2:F:t28 -3.750000e-02 -0.2869875165 0.2119875165 1.0000000
F1:M:t28-F2:F:t28
2.500000e-02 -0.2244875165
0.2744875165 1.0000000
F2:M:t28-F2:F:t28
1.500000e-01 -0.0994875165
0.3994875165 0.7437223
F3:M:t28-F2:F:t28 -3.750000e-02 -0.2869875165 0.2119875165 1.0000000
F1:M:t28-F3:F:t28 6.250000e-02
-0.1869875165 0.3119875165 0.9999669
F2:M:t28-F3:F:t28
1.875000e-01 -0.0619875165
0.4369875165 0.3718795
F3:M:t28-F3:F:t28
0.000000e+00 -0.2494875165
0.2494875165 1.0000000
F2:M:t28-F1:M:t28
1.250000e-01 -0.1244875165
0.3744875165 0.9223869
F3:M:t28-F1:M:t28 -6.250000e-02 -0.3119875165 0.1869875165 0.9999669
F3:M:t28-F2:M:t28 -1.875000e-01 -0.4369875165 0.0619875165 0.3718795
9. 檢查不同組別數值是否符合相同變異數假設前提(Check the homogeneity of variance
assumption)。
第一步: 安裝car程式套件。
第二步: 呼叫car程式套件備用。
library(car)
第三步: 閱讀car程式套件leveneTest函數使用說明。
help(leveneTest)
第四步: 使用leveneTest函數檢查不同組別數值是否符合相同變異數。
leveneTest(Growth ~ Fish
* Sex * Temp, data = m)
Levene's Test for Homogeneity of Variance (center = median)
Df F value
Pr(>F)
group 17 0.5445 0.9163 # p
> 0.05不同組別數值符合相同變異數。
54
# p < 0.05不同組別數值不符合相同變異數。
# p > 0.05不同組別數值符合相同變異數。
10. 檢查不同組別數值是否符合常態分布假設前提(Check the normality assumption)。
第一步: 使用基本模組(base)的residuals函數代入fm來顯示三因子分析的殘差結果存入變數aov_residuals。
aov_residuals <-
residuals(object = fm)
第二步: 使用基本模組(base)的shapiro.test函數代入aov_residuals來檢查不同組別數值是否符合常態分布。
shapiro.test(x =
aov_residuals)
Shapiro-Wilk
normality test
data: aov_residuals
W = 0.96553, p-value = 0.04566
# p < 0.05不同組別數值不符合常態分布。
# p < 0.05不同組別數值不符合常態分布。
# p > 0.05不同組別數值符合常態分布。
來勁了嗎? 想知道更多?? 補充資料(連結):
1. F-test (https://en.wikipedia.org/wiki/F-test)
2. Analysis of variance (https://en.wikipedia.org/wiki/Analysis_of_variance)
3. Three way ANOVA (https://www.r-bloggers.com/raccoon-ch-2-4-3-way-anova/)
4. 關於R基礎,R繪圖及統計快速入門:
a. R Tutorial: https://www.tutorialspoint.com/r/index.htm
b. Cookbook for R: http://www.cookbook-r.com/
c. Quick-R: https://www.statmethods.net/
d. Statistical tools
for high-throughput data analysis (STHDA): http://www.sthda.com/english/
e. The Handbook of Biological Statistics: http://www.biostathandbook.com/
f. An R Companion for the Handbook of
Biological Statistics: http://rcompanion.org/rcompanion/index.html
5. Zar, JH. 2010. Biostatistical Analysis, Fifth Edition,
Pearson.



留言
張貼留言